Awasome Resultant Force Equation References
Awasome Resultant Force Equation References. The formula for resultant force acting perpendicular to each other is f = [(f1) 2 + (f2) 2] 1/2 f = [(9) 2 + (4) 2] 1/2. This is an online calculator resultant force with the capability to calculate the resultant force of several forces, up to 4 in total in a concurrent force system.

So, consider again the two people pushing the box. At a given time, there are always multiple forces working on a body. F (r) = f (1) + f (2) + f (3) in.
A Resultant Force Creates The Same Effect On Something As Multiple Forces That Are Put On The Same Thing.
Either they act in the same direction or the. The resultant force on anybody can be given by: If f 1, f 2, f 3 ,… are the forces acting on a body, the resulting force r f is calculated as follows:
An Object Falling Through The Air If The Weight Of The Box (Acting Downwards) Is 50 N And The Air Resistance (Acting Upwards) Is 20 N, The Forces Are Unbalanced.
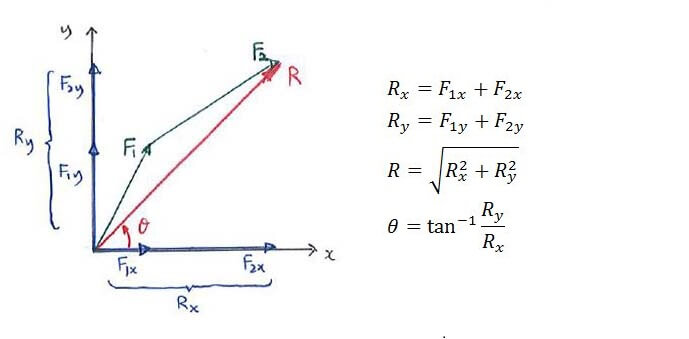
The resultant force or any other type of force can be explained easily using a. The resultant force on an object is the vector sum of all the forces acting on that object as shown by this diagram. This formula can be used to understand how the motion of an object will be affected by a resultant force.
The Following Resultant Vector Formula Can Be Used Here.
Note that according to the type of force system, one or two or three of the equations above will be used. The resultant force has to be equal for all the force as all the force is acting in the same direction. The resultant force is the vector sum between the components (if the equation is not displayed correctly reload the page):
In Physics And Engineering, A Resultant Force Is The Single Force And Associated Torque Obtained By Combining A System Of Forces And Torques Acting On A Rigid Body Via Vector Addition.the.
Explore the definition, formula, and example problems for resultant. Fr = f1 + f2 + f3. This is an online calculator resultant force with the capability to calculate the resultant force of several forces, up to 4 in total in a concurrent force system.
Always Start With A Diagram!
(3) f r = f r y 2 + f r x 2. The resultant force is zero. Now we have taken some examples to calculate the magnitude and direction of the resultant force.
No comments for "Awasome Resultant Force Equation References"
Post a Comment