Cool Cubic Formula References
Cool Cubic Formula References. It is not an approximation. Thecubicformula exact roots of a cubic polynomial.

Volume (cubic feet) = length (feet) × dimension (feet) × height (feet) step 2: Knowledge of the quadratic formula is older than the pythagorean theorem. F (x) = ax 3 + bx 2 + cx 1 + d.
A Cubic Equation Is An Algebraic Equation Of Degree Three And Is Of The Form Ax 3 + Bx 2 + Cx + D = 0, Where A, B And C Are The Coefficients And D Is The Constant.
The general form of a cubic function is: A cubic function is a polynomial function of degree 3 and is of the form f (x) = ax 3 + bx 2 + cx + d, where a, b, c, and d are real numbers and a ≠ 0. A general cubic equation takes the form ax³ +bx² + cx + d.
The Formula Is = Length × Breadth × Height Or L × B × H.
A cubic function is a polynomial of degree 3, meaning 3 is the highest power of {eq}x {/eq} which appears in the function's formula. Each solution for x is called a “root” of the. Volume (cubic feet) = length (feet) × dimension (feet) × height (feet) step 2:
The Simplest Example Of Such A Function Is The.
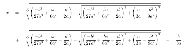
The sordid past of the cubic formula. In addition, cubic meter one is equal to. We’re interested in the depressed cubic equation:
Generally Speaking, When You Have To Solve A Cubic Equation, You’ll Be Presented With It In The Form:
The standard form of a cubic equation with variable x is, ax3 + bx2 + cx + d = 0, where a ≠ 0. Conversion (convert the given information into feet) before inserting these values within the. Thecubicformula exact roots of a cubic polynomial.
X^3 + 3Bx^2 + 6Cx + 2D = 0 Has Roots Given By:
Since a_3!=0 (or else the polynomial would be quadratic and not. The leading coefficient is 1 and the x² term is absent. The basic cubic function (which is also known.
No comments for "Cool Cubic Formula References"
Post a Comment